기하학에서 점만큼 중요한 개념이 있는데요. 바로 벡터입니다. 벡터는 수학에서도 사용되지만 물리에서도 사용되는 개념입니다. 아마 물리 수업시간에 수업을 들으신 분들은 기억하고 있으실텐데요. 벡터와 스칼라에 대해서 배웠을 것 입니다. 벡터는 크기와 방향이 있는 성분이고 스칼라는 크기만 있다 라고요. 수학에서도 벡터와 스칼라가 있습니다. 두 학문에서 사용하는 개념은 거의 비슷하다고 볼 수 있습니다.
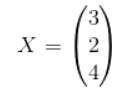
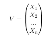
일반적으로 n 차원의 벡터는 다음과 같이 생겼습니다.

벡터는 행렬과 비슷한 형태를 하고 있는데요. 실제로 행이 n 개이고 열이 1개인 행렬입니다. 반대로 행렬은 벡터의 모임으로 볼 수 있는데요. 이는 나중에 행렬식을 다루면서 자세하게 이야기하도록 하겠습니다. 오늘은 벡터의 연산에 대해서 알아보도록 하겠습니다.
1, 벡터의 덧셈
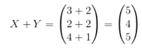
벡터의 덧셈은 행렬의 덧셈과 마찬가지로 더하고자 하는 벡터의 크기가 같아야 합니다. 즉 원소가 3개인 벡터와 원소가 4개인 벡터는 서로 덧셈이 불가능합니다. 물론 이 벡터를 차원의 개념으로 확장한다면 같은 차원의 원소끼리 덧셈이 가능하겠지만 일반적인 연산을 하기 위해서 원소의 개수가 같아야 합니다. 아래 두 개의 벡터를 더하는 예제를 통해서 덧셈이 어떻게 이루어지는지 알아보도록 하겠습니다.


다음과 같이 두개의 벡터가 있을때 두 벡터의 합은 다음과 같이 연산됩니다.

2. 벡터의 뺄셈
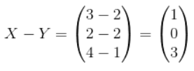
벡터의 뺄셈은 덧셈과 같은 방법으로 + 기호 대신에 - 기호를 사용하면 됩니다. 따라서 위에서 예제로 든 두 벡터를 뺀다면 다음과 같은 결과를 얻을 수 있습니다.

지금까지의 덧셈과 뺄셈은 수학적인 계산에 의한 결과였습니다. 이를 기하학적으로 생각한다면 어떻게 될까요? 위에서 벡터는 방향성분이 있다고 했습니다. 그래서 덧셈은 기존의 벡터에 다른 나머지 벡터를 같은 방향으로 움직는 것이 되고, 뺄셈은 기존의 벡터와 반대 방향으로 움직인다고 생각하면 되는 것입니다. 그래서 실제로 벡터를 -1 만큼 스칼라배를 한 것을 덧셈한 결과와 벡터를 뺄셈한 결과는 갖게 됩니다.
3. 스칼라배
벡터의 스칼라배는 행렬의 스칼라배와 같이 각 원소에 상수만큼 늘리는 것인데요.

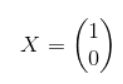
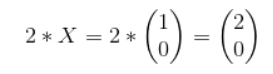
다음과 같은 벡터가 있다고 가정해봅시다. 이 벡터는 2차원 직교좌표계에서 X축을 표현하는 벡터입니다. 다음 벡터에 2만큼 스칼라배를 하게 되면 다음과 같은 식이 성립합니다.

이 결과를 2차원 직교좌표계에서 생각한다면 기존의 벡터의 길이만큼 2배가 되는 것입니다.
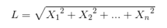
마지막으로 계획에는 없었는데 벡터의 길이에 대한 이야기가 나와서 길이를 구하는 방법에 대해서 이야기해보겠습니다. 벡터의 길이는 원점을 기준으로 벡터의 길이를 계산합니다. 2차원에서 삼각형의 빗변의 길이를 구하는 공식과 같습니다. 정확히 말하면 n 차원에서 두 점으로 생기는 선분의 길이입니다. 이때 한 점은 원점이고 나머지 한 점은 벡터의 끝점이 되는 것이죠. 따라서 공식은 아래와 같습니다.

와 같은 벡터의 길이를 L 이라고 하면

'컴퓨터와 기하학' 카테고리의 다른 글
| 행렬식 (Determinant) (0) | 2019.07.29 |
|---|---|
| 행렬 연산 - 01. 덧셈, 뺄셈, 곱셈, 스칼라 (0) | 2019.07.26 |
| 행렬의 기본 정리 - 행렬의 종류 (0) | 2019.07.25 |
| 3차원 이동행렬, 회전행렬(Translate Matrix, Rotation Matrix) (0) | 2019.07.24 |
| 행렬을 이용한 이동, 회전, 스케일 (Translate, Rotate, Scale) (0) | 2019.07.23 |