1. 정의
행렬식은 n by n 행렬인 정방행렬일 경우 해당 행렬을 하나의 수에 대응시키는 함수입니다. 행렬 M 이 있을때 이를 실수 a로 대응시키는 함수이지요. 정리하면 행렬 A

의 행렬식은

또는

라고 표현합니다. 행렬식은 n by n 행렬을 기준으로 재귀함수를 이용하여 구할 수 있습니다. 재귀함수는 수학에서 배우는 재귀이거나 컴공에서 배우는 재귀나 같은 의미로 함수 내부에서 함수를 호출하여 초기값을 기준으로 순서대로 값을 구해나가는 과정을 표현한 함수입니다. 행렬식을 재귀적으로 구하기 위해서는 초기값이 필요합니다. 따라서 행렬 A의 n차 정방행렬을 표현하는 기호를 하나 정의하고 다음 이야기를 하도록 하겠습니다. 행렬 A의 n차 정방행렬의 행렬식은

으로 표현할때, 초기값을

로 표현합니다. 그리고 나머지 n = 1, 2, ... 인 행렬은 재귀적으로 구하게 됩니다.
1) n = 1 인 경우

n = 1 인 경우는 행렬의 원소가 1개이기 때문에 행렬식은 해당 원소와 대응하게 됩니다.
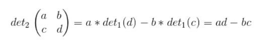
2) n = 2 인 경우

n = 2 일때 부터 어느정도 재귀적인 규칙이 보이기 시작하는데요. 일반적으로 대각선 원소끼리 곱해서 빼는 방식으로 표현합니다. 따라서 a와 d를 곱하고 b와 c를 곱하여 뺀 결과가 2 by 2 행렬의 행렬식이 되는 것입니다.
3) n = 3 인 경우

n = 3 일때는 1행을 기준으로 아래에 있는 원소로 2 by 2 행렬을 만들어 행렬식을 구하여 연산을 하게 됩니다. 이때 1행의 원소인 a, b, c는 순서대로 1, -1, 1 을 곱하게 됩니다. 그리고 1열인 a 원소를 선택했을때 2, 3 열의 원소로 행렬을 만듭니다. 그렇게 되면 3 by 3 행렬의 행렬식은 2 by 2 행렬의 행렬식의 연산으로 표현됩니다. 그리고 위의 2 by 2 행렬의 연산을 풀어쓰면

로 표현할 수 있습니다. 이렇게 재귀적으로 구하는 함수를 일반화하여 코드로 작성하면 쉽게 결과를 찾을 수 있습니다.
2. 활용
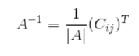
행렬식은 다양한 분야에서 활용될 수 있습니다. 가장 많이 사용되는 곳이 역행렬을 구하기 위해서 사용됩니다. 역행렬은 A라는 행렬을 기준으로 해당 행렬에 역행렬을 곱하게 되면 단위행렬이 나오는 행렬입니다. 행렬 A의 역행렬은

으로 표현하고 행렬 A의 역행을 행렬식을 활용하여 표현하면

으로 표현할 수 있고 이때 행렬식이 0이 된다면 역행렬을 구할 수 없게 됩니다. 따라서 해당 행렬의 역행렬이 존재하는지 확인하기 위해서는 행렬식이 존재하는지 먼저 확인하면 따로 계산을 할 필요가 없이 해당 행렬이 가역행렬인지 확인할 수 있습니다.
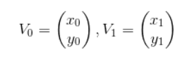
또 행렬식은 기하학적으로 활용이 가능합니다. 2차 직교좌표계에서 행렬 A는 2 by 2 행렬입니다. 이때 한개의 열을 하나의 벡터로 생각하면


다음과 같이 표현할 수 있습니다. 따라서 기존의 x축 y축 기저를 해당 벡터로 변환하는 행렬이 됩니다. 이때의 행렬식은 두 벡터를 이용하여 만든 사각형의 넓이가 됩니다. 3차 공간좌표계에서는 행렬식이 해당 행렬로 변환한 도형의 부피가 됩니다. 4차, 5차도 이와 같은 기하학적 의미가 통용되지만 일반적으로 사람이 생각할 수 있는 수준을 벗어나기 때문에 선형대수정도에서만 사용하는 개념이 됩니다.
'컴퓨터와 기하학' 카테고리의 다른 글
| 벡터란 무엇인가 - 벡터 연산 (0) | 2019.07.27 |
|---|---|
| 행렬 연산 - 01. 덧셈, 뺄셈, 곱셈, 스칼라 (0) | 2019.07.26 |
| 행렬의 기본 정리 - 행렬의 종류 (0) | 2019.07.25 |
| 3차원 이동행렬, 회전행렬(Translate Matrix, Rotation Matrix) (0) | 2019.07.24 |
| 행렬을 이용한 이동, 회전, 스케일 (Translate, Rotate, Scale) (0) | 2019.07.23 |